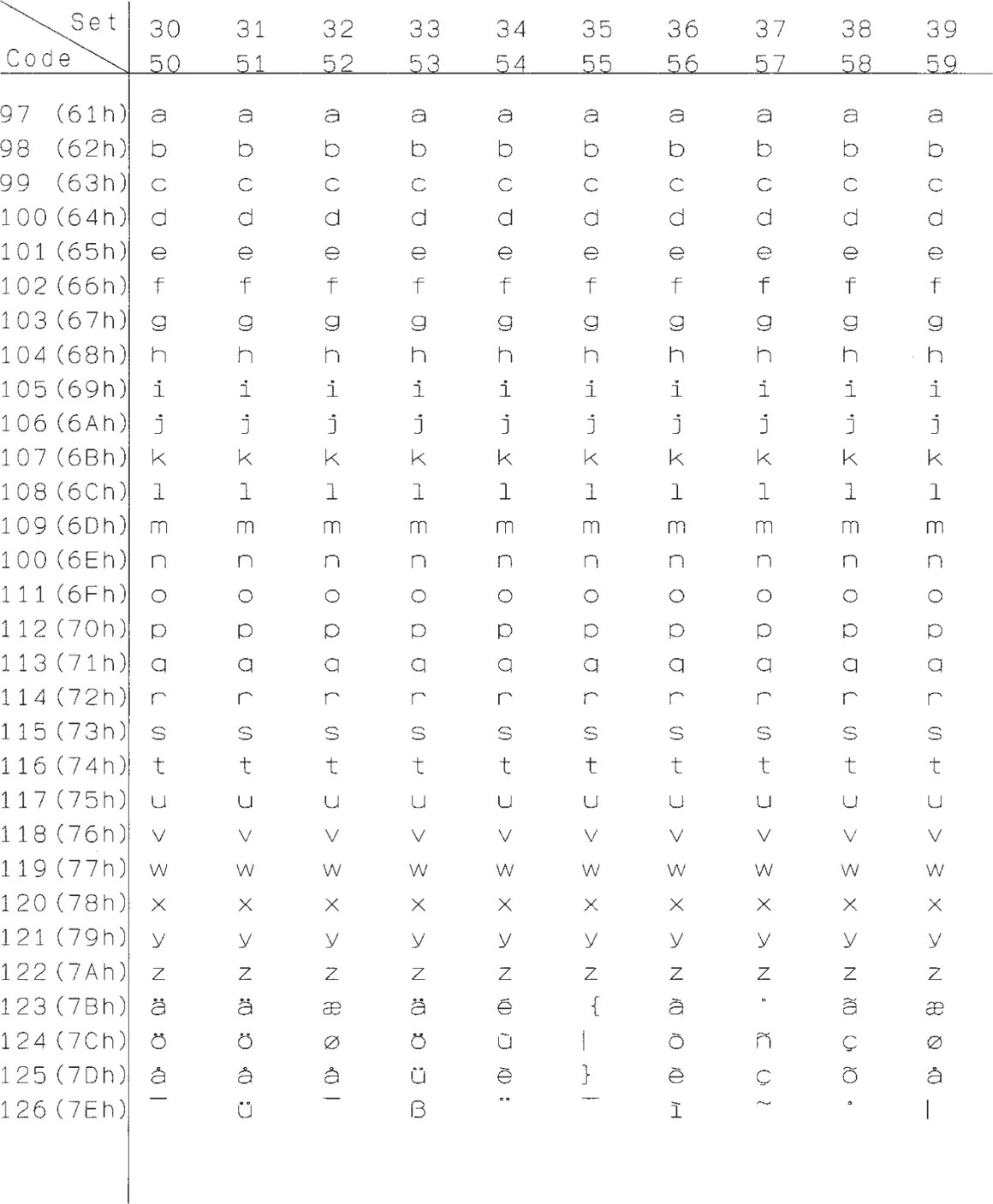
コード表
1バイトコード表
固定文字
可変文字
»
プリント
»
エミュレーション
»
HP-GLエミュレーション
»
付録
»
コード表
0L26-29W