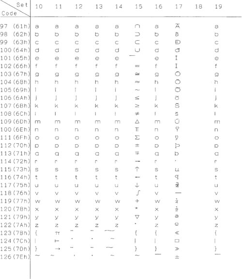
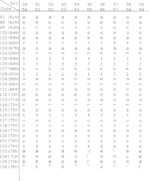
コード表
1バイトコード表
固定文字
可変文字
»
プリント
»
本体の設定 (HP-GLエミュレーション)
»
付録
»
コード表