コード表

I75モード(日本語モード)の1バイトコード表

プロモード(英語モード)の1バイトコード表

コードページ437

文字セット
文字セット2
オールキャラクタチャート

コードページ850

文字セット
文字セット2
オールキャラクタチャート

2バイトコード表

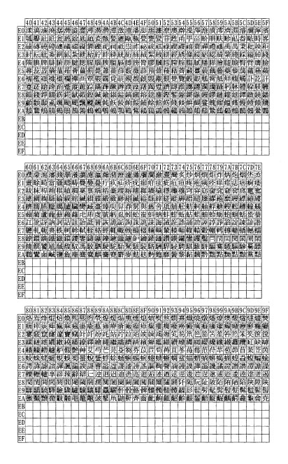
漢字コード表(JIS第一水準 JIS C6226-1978)

漢字コード表(JIS第一水準 JIS C6226-1978)

漢字コード表(JIS第一水準 JIS C6226-1978)

漢字コード表(JIS第一水準 JIS C6226-1978)

漢字コード表(JIS第一水準 JIS C6226-1978)

漢字コード表(JIS第二水準 JIS C6226-1978)

漢字コード表(JIS第二水準 JIS C6226-1978)

漢字コード表(JIS第二水準 JIS C6226-1978)

漢字コード表(JIS第二水準 JIS C6226-1978)

漢字コード表(JIS第一水準 JIS X0208-1990)

漢字コード表(JIS第一水準 JIS X0208-1990)

漢字コード表(JIS第一水準 JIS X0208-1990)

漢字コード表(JIS第一水準 JIS X0208-1990)

漢字コード表(JIS第一水準 JIS X0208-1990)

漢字コード表(JIS第二水準 JIS X0208-1990)

漢字コード表(JIS第二水準 JIS X0208-1990)

漢字コード表(JIS第二水準 JIS X0208-1990)

漢字コード表(JIS第二水準 JIS X0208-1990)

漢字コード表(IBM JIS)

漢字コード表(IBM JIS)

漢字コード表(IBM JIS)

漢字コード表(IBM JIS)

漢字コード表(IBM JIS)

漢字コード表(IBM JIS)

漢字コード表(IBM JIS)

漢字コード表(IBM JIS)

漢字コード表(IBM JIS)

07FU-2XY